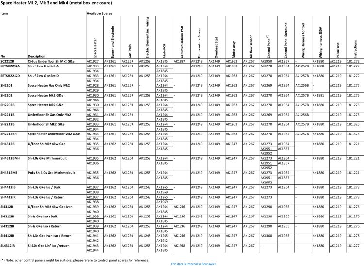
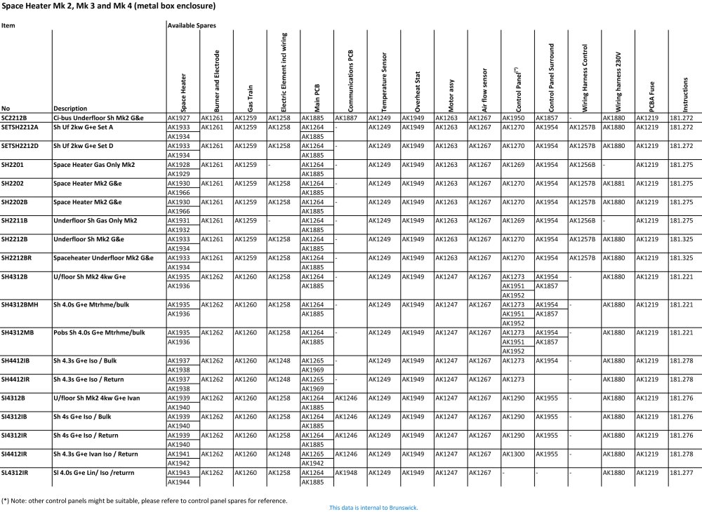
WHALE Gas Only Space Heater
WHALE Gas Only Space Heater is a compact, lightweight internal Space Heater that will fit neatly inside a bunk or cupboard and runs on gas. Contents: Space Heater, Wiring Harness & Control Panel. Please Note. Requires: Flue Kit available seperately FK2125 or FK2200.
Details:
| Item code: | SH2201 |
|---|---|
| Availability: | IN STOCK |







